- 凤岗公司注册-凤岗注册公司-凤岗代理工商注册-凤岗代理记账- [每日财税汇] 财务人员必备的八个超实用网站!
- 凤岗公司注册-凤岗注册公司-凤岗代理工商注册-凤岗代理记账- 《增值税法草案(征求意见)》调整内容梳理
- 凤岗公司注册-凤岗工商注册-凤岗注册公司-凤岗代理记账- 固定资产维修费的会计处理
- 凤岗公司注册-凤岗工商注册-凤岗注册公司-凤岗代理记账-个人所得税经营所得汇算清缴开始了
- 凤岗公司注册-凤岗工商注册-凤岗注册公司-凤岗代理记账-10种发票实务这样处理
- 凤岗公司注册-凤岗工商注册-凤岗注册公司-凤岗代理记账- 企业应如何健全内部控制、防范发票风险
- 凤岗公司注册-凤岗注册公司-凤岗代理工商注册-凤岗代理记账- 去年印花税多交今年用来抵税如何做账?
- 凤岗公司注册-凤岗注册公司-凤岗代理工商注册-凤岗代理记账- 小规模纳税人可以开分公司吗?
- 凤岗公司注册—出口退税申报留意四个重要时限
- 凤岗公司注册— 应收账款管理——如何进行事前、事中、事后控制
- 凤岗公司注册—会计人员应该谨记的八个小常识
- 凤岗公司注册—实收资本与注册资本的异同点
- 凤岗公司注册—增值税普通发票和专用发票的区别是什么?
- 凤岗公司注册—原始凭证处理十四要点
- 凤岗公司注册—六种税前扣除的“忌讳”
凤岗注册公司-会计手工业务流程图
凤岗注册公司-会计手工业务流程图
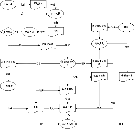
手工业务流程图,账务处理流程主要有5种形式:记账凭证核算形式、科目汇总表核算形式、汇总记账凭证核算形式、日记总账核算形式、和多栏式日记账核算形式。不同的账务处理流程其差别主要体现在登记总账的方法和依据不同,其中科目汇总表核算形式最为常见,这里手工系统的业务流程图以科目汇总表核算形式为依据。账务处理手工业务流程图如图所示:
手工处理业务流程分析
(1)日常经济业务发生时,业务人员将原始凭证提交给财会部门。由凭证录入人员在企业基础会计信息的支持下,直接根据原始单据编制凭证,并保存在凭证文件中。
(2)对凭证文件中的凭证进行审核。如果审核通过,则对记账凭证作审核标记,否则,将审核未通过的凭证提交给录入人员。
(3)登记日记账,出纳人员根据收款凭证和付款凭证,登记现金日记账和银行存款日记账。
(4)登记各种明细账,一般单位根据业务量的大小设置各个会计岗位,即分别由多个财会人员登记多本明细账,如一个会计专门登记应收账款明细账;一个会计专门登记材料明细账等。
(5)根据科目汇总表登记总账,总账会计根据记账凭证定期汇总编制科目汇总表,根据科目汇总表登记总分类账。
(6)月末处理,由于总账、日记账、明细账分别由多个财会人员登记,不可避免地存在着这样或那样的错误。因此,每月月末,财会人员要进行对账,将日记账与总账核对,明细账与总账核对,做到账账相符。此外,财会人员月末还要进行结账,即计算会计账户的本期发生额和余额,结束账簿记录。
(7)跟据企业银行账和银行对账单中的银行业务进行自动对账,并生成余额调节表。
(8)查询与生成报表,根据日记账、明细账和总账编制管理者所需的会计报表和内部分析表。
计算机处理业务流程图。如图示:
计算机处理业务流程分析
(1)首先,在系统启用时由凭证录入人员将本单位的基础会计信息(如企业基本信息档案、科目编码和名称、期初余额、客户档案、供应商档案、财务人员档案、仓库档案等)通过初始模块送入计算机,并保存在企业基础信息文件中。与手工处理流程相比,新增了初始设置模块,该模块在整个系统中的作用举足轻重。比如科目表的编码设置,直接关系到记账凭证的录入、存储、查询效率;科目余额表金额的准确性,直接关系到计算机与手工账的接口问题;往来单位信息表和余额表直接关系到对往来单位辅助信息的核算和管理。
(2)新增了录入员岗位,负责录入记账凭证,虽然增加了工作量,确是必不可少而且十分重要的,直接关系到整个账务系统数据处理的准确性。
(3)新增了临时凭证文件,用于保存当期审核后的临时凭证。相对于历史凭证文件而言,其主要作用是便于集中审核当期的记账凭证,不用查询前期已经审核结账的凭证,节省了系统查询时间。
(4)记账与手工处理不同,即记账人员发指令,计算机自动将凭证文件中已审核凭证进行记账,分别更新汇总文件、已记账文件、企业银行账等,并将凭证文件中已记账的凭证删除。结账,即会计期末结账人员发指令,计算机自动根据凭证模板生成机制凭证,保存在凭证文件中,共记账使用;当所有凭证都记账后,计算机自动计算出本月合计、本年累计数据。










